Skip to content Skip to sidebar Skip to footer

How To Find The Radius Of A Cone Without Volume - Arc length = 1/2 circ.

How To Find The Radius Of A Cone Without Volume - Arc length = 1/2 circ.. The term right means that the vertex of the cone is centered above the base. See full list on calculatorsoup.com First of all substitute the height and volume into the for. By using this website, you agree to our cookie policy. See full list on calculatorsoup.com

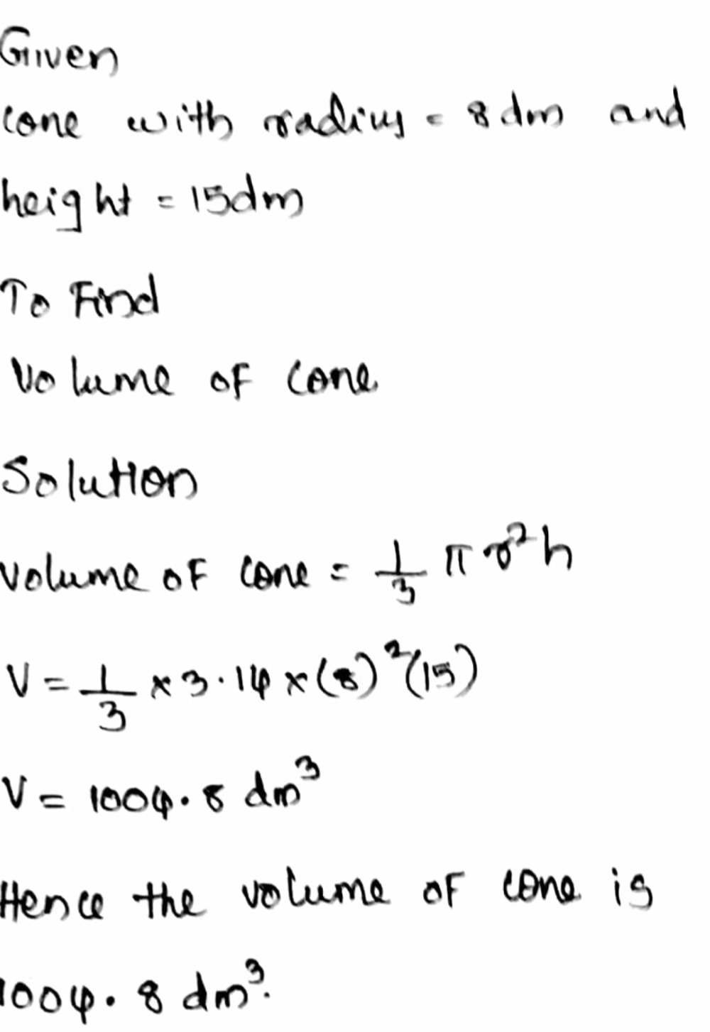
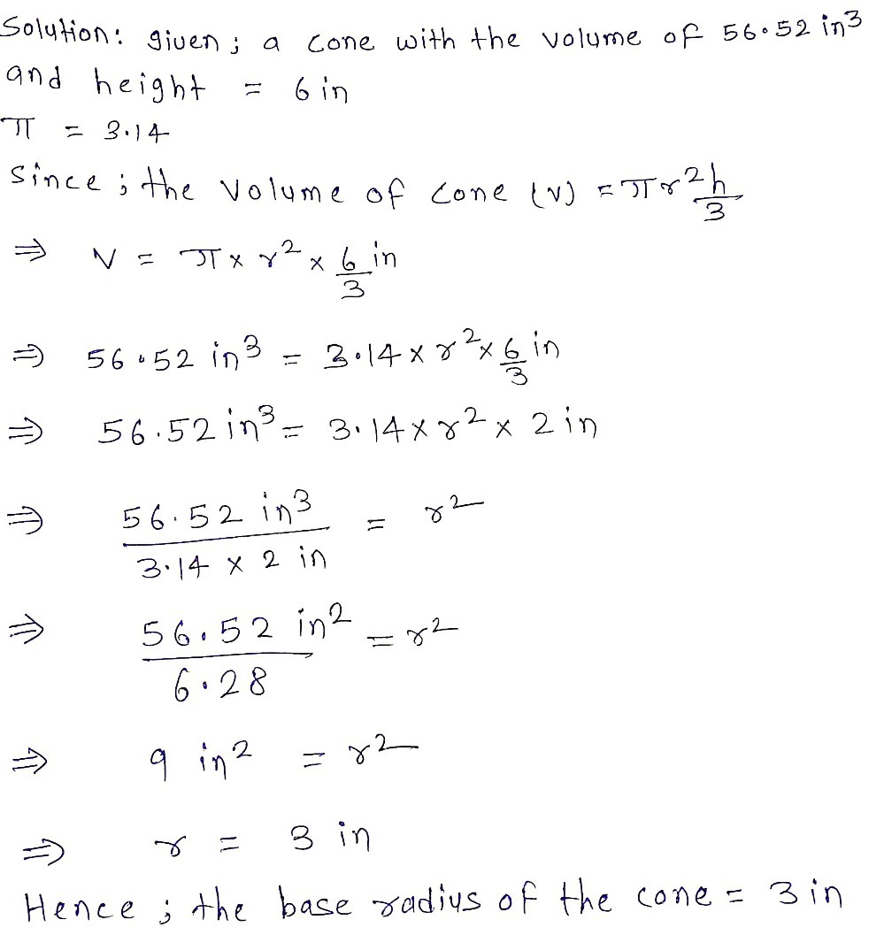
Add your answer and earn points. How to find radius of a cone without knowing the volume 1 see answer lexi184 is waiting for your help. This online calculator will calculate the various properties of a right circular cone given any 2 known variables. R=√(3v/πh) will give you the radius at the base of the cone. Calculate the radius of cone with the volume of cone of 1000 mm 3 and height of cone of 500 mm.

Right Circular Cone Formula Properties Definition Examples
Right Circular Cone Formula Properties Definition Examples from d138zd1ktt9iqe.cloudfront.net
How to calculate the radius and volume of a cone? Add your answer and earn points. Using the term cone by itself often commonly means a right circular cone. This online calculator will calculate the various properties of a right circular cone given any 2 known variables. Youve taken a semi circle (r=12) and formed it into a cone such that the center of the semicircle is the apex, the slant height is the radius and then base circumference is the arc length of the semi circle. Calculations are based on algebraic manipulation of these standard formulas. The term circular clarifies this shape as a pyramid with a circular cross section. See full list on calculatorsoup.com

Note that units are shown for convenience but do not affect the calculations.

If you want to find the radius without algebra, just wrap a string around it, then measure the string with a ruler. Youve taken a semi circle (r=12) and formed it into a cone such that the center of the semicircle is the apex, the slant height is the radius and then base circumference is the arc length of the semi circle. See full list on calculatorsoup.com Below are the standard formulas for a cone. See full list on calculatorsoup.com The term circular clarifies this shape as a pyramid with a circular cross section. Calculations are based on algebraic manipulation of these standard formulas. By using this website, you agree to our cookie policy. Using the term cone by itself often commonly means a right circular cone. Calculate the radius of cone with the volume of cone of 1000 mm 3 and height of cone of 500 mm. How to calculate the radius and volume of a cone? How to calculate the lateral surface area of a cone? For example, if you are starting with mm and you know r and h in mm, your calculations will result with s in mm, v in mm3, l in mm2, b in mm2 and a in mm2.

R=√(3v/πh) will give you the radius at the base of the cone. R = radius h = height s = slant height v = volume l = lateral surface area b = base surface area a = total surface area π = pi = 3.1415926535898 √ = square root = (1/2) 2πr = 12π = circumference of cone. How do you find the slant height of a cone? This online calculator will calculate the various properties of a right circular cone given any 2 known variables.

Sydrfhgnhihumm
Sydrfhgnhihumm from image.slidesharecdn.com
See full list on calculatorsoup.com Calculations are based on algebraic manipulation of these standard formulas. Add your answer and earn points. The term right means that the vertex of the cone is centered above the base. Here you will taught how to find the radius of a cone if the question gives the height and volume. How to find radius of a cone without knowing the volume 1 see answer lexi184 is waiting for your help. The term circular clarifies this shape as a pyramid with a circular cross section. Note that units are shown for convenience but do not affect the calculations.

By using this website, you agree to our cookie policy.

Note that units are shown for convenience but do not affect the calculations. Calculations are based on algebraic manipulation of these standard formulas. How to find radius of a cone without knowing the volume 1 see answer lexi184 is waiting for your help. Youve taken a semi circle (r=12) and formed it into a cone such that the center of the semicircle is the apex, the slant height is the radius and then base circumference is the arc length of the semi circle. Calculate the radius of cone with the volume of cone of 1000 mm 3 and height of cone of 500 mm. R=√(3v/πh) will give you the radius at the base of the cone. How to calculate the radius and volume of a cone? See full list on calculatorsoup.com For example, if you are starting with mm and you know r and h in mm, your calculations will result with s in mm, v in mm3, l in mm2, b in mm2 and a in mm2. Below are the standard formulas for a cone. If you want to find the radius without algebra, just wrap a string around it, then measure the string with a ruler. How to calculate the lateral surface area of a cone? The units are in place to give an indication of the order of the results such as ft, ft2 or ft3.

How to calculate the lateral surface area of a cone? Here you will taught how to find the radius of a cone if the question gives the height and volume. Calculate the radius of cone with the volume of cone of 1000 mm 3 and height of cone of 500 mm. The term circular clarifies this shape as a pyramid with a circular cross section. This online calculator will calculate the various properties of a right circular cone given any 2 known variables.

Solution Find The Volume Of A Cone To Be Constructed From A Sector 01
Solution Find The Volume Of A Cone To Be Constructed From A Sector 01 from pinoybix.org
Add your answer and earn points. R = radius h = height s = slant height v = volume l = lateral surface area b = base surface area a = total surface area π = pi = 3.1415926535898 √ = square root By using this website, you agree to our cookie policy. For example, if you are starting with mm and you know r and h in mm, your calculations will result with s in mm, v in mm3, l in mm2, b in mm2 and a in mm2. Here you will taught how to find the radius of a cone if the question gives the height and volume. R=√(3v/πh) will give you the radius at the base of the cone. Youve taken a semi circle (r=12) and formed it into a cone such that the center of the semicircle is the apex, the slant height is the radius and then base circumference is the arc length of the semi circle. The term right means that the vertex of the cone is centered above the base.

The term circular clarifies this shape as a pyramid with a circular cross section.

The term circular clarifies this shape as a pyramid with a circular cross section. Arc length = 1/2 circ. How to calculate the lateral surface area of a cone? See full list on calculatorsoup.com How to calculate the radius and volume of a cone? R = radius h = height s = slant height v = volume l = lateral surface area b = base surface area a = total surface area π = pi = 3.1415926535898 √ = square root How to calculate the radius of a circle? Calculate the radius of cone with the volume of cone of 1000 mm 3 and height of cone of 500 mm. How do you find the slant height of a cone? The term right means that the vertex of the cone is centered above the base. If you want to find the radius without algebra, just wrap a string around it, then measure the string with a ruler. Here you will taught how to find the radius of a cone if the question gives the height and volume. The units are in place to give an indication of the order of the results such as ft, ft2 or ft3.

See full list on calculatorsoupcom how to find the radius of a cone. Below are the standard formulas for a cone.